近日,bevictor伟德的道路交通安全研究团队讲师巫诚诚在国际工程技术顶刊Sustainable Cities and Society(一区,IF=7.587)上发表题为“modeling the low-carbon behaviors’ development paths of freight enterprises based on a survey in Zhejiang, China”的研究性学术论文。

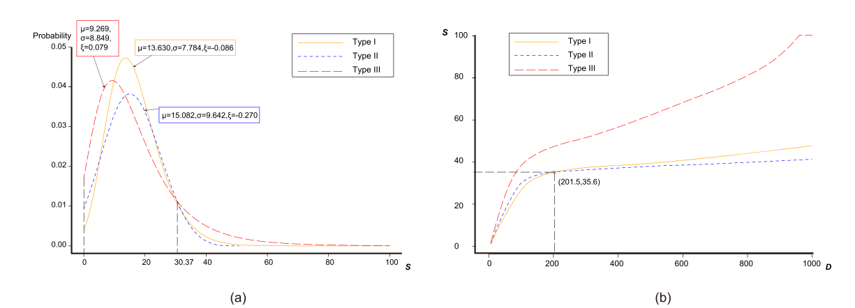
改善货运企业的低碳行为是降低公路行业碳排放、促进城市可持续发展的重要举措。该论文旨在建模研究,随着货运企业发展程度的变化,其低碳行为是如何变化的。论文在浙江省980家货运企业的问卷调查数据的基础上,采用K-means聚类方法和极值理论(EVT)进行不同类型货运企业发展路径的识别。研究结果显示:(1)低GDP区域的短途运输货运企业有最好的低碳发展程度(LCD),且当其LCD高于30.37时,有最高概率去采取新的低碳行为;(2)高GDP区域的货运企业,当其发展指数大于201.5时,有最低的意愿去采取新的低碳行为;研究结果有助于深入对货运企业在不同阶段的低碳发展路径的研究,并对政府在道路货物运输进行更为准确的低碳引导具有重要意义。
该论文代表性结果如下:

Fig 2. Research framework.
Table 5 Descriptive statistics of cluster results

Table 7 Enterprises’ low carbon differences.


Fig 4. (a) The distributions of enterprises’ low-carbon degree (S) at different development levels(D); (b) The distributions of extreme S values for different enterprises.

Fig 5. (a) The estimated GEV distributions of type I, II and III; (b) The estimated LCD in different development periods.

巫诚诚,东南大学博士研究生,bevictor伟德,伟德bv国际体育讲师。主要研究方向为交通安全及新能源汽车。

