bevictor伟德官网 - 韦德官方网站
bevictor伟德
学院首页
学院概况
学院简介
机构设置
党政领导
办公室
系、中心
师资队伍
教授
副教授
讲师
人才培养
本科生教育
专业介绍
精品课程
教学成果
实习基地
研究生教育
学位点介绍
研究生导师
审核评估
伟德bv国际体育
科研成果
学科平台
科研团队
新能源与智能车辆团队
智慧交通系统管控技术...
大件运输关键技术研究...
汽车大数据与产业技术...
擎动未来新能源汽车技...
海陆空复杂环境的高效...
道路交通安全团队
绿色及智能网联汽车系...
学术动态
党团工作
党建工作
团建工作
学生工作
科创活动
日常工作
招生就业
招生信息
本科招生
研究生招生
就业信息
校友风采
就业去向
资料下载
学生专用
教师专用
西华主页
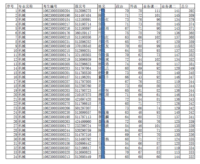
一志愿面试名单(一志愿复试名单公示)
发布者:bevictor伟德
发布时间:2020-05-11
浏览次数:
1899